SEOClerks

I Will Make Your Math Assignment or Questions for $10

Level 1
Attention: The owner of this service has not logged into SEOClerks for more than 30 days. It is highly recommend that you contact them before ordering this service. Last Login: 1902 days ago

I Will Make Your Math Assignment or Questions

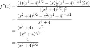
I am Math expert I Will Do Your math questions including type derivative and integration.
If You Want My Service Kindly inbox me. I Hope My Work will Satisfy You 100%.
$1 per Question.


What's included


Tags

Math Intedration Derivative Algebra

0.0

0 reviews

Rating breakdown


Extras
Quick 1 day delivery
If the seller fails to deliver the service in the specified time, the order will automatically cancel returning your funds.
$5

Other services by MalikjuttUsman

$10 - In stock